Na década de 30, o físico Paul Dirac combinou a Teoria da Relatividade Restrita à Mecânica Quântica e e chegou a uma previsão surpreendente. As equações apontavam que para cada particula deveria existir uma partícula com mesma massa e carga. Tempos depois, foi descoberto o Positron, antipartícula do Elétron, mostrava que Dirac estava correto. a colisão entre partícula e antipartícula dá origem a dois fótons com energias parecidas com a massa da cada uma, constatada pela equação E=mc². A colisão de 1 grama entre partícula e antipartícula corresponde quase a duas “Little Boy”, bomba detonada pelo EUA em Hiroshima, na segunda grande guerra.
Na Quântica, a matéria e antimatéria agem praticamente da mesma forma, seguindo as mesmas leis e não tendo vantagem nenhuma sobre a outra. Assim fica difícil responder porque o Cosmos é inundado de matéria e a antimatéria ser rara. Considerada uma das grandes duvidas da Física Moderna. Novas descobertas dizem que a simetria não é tão perfeita quanto parece e algumas interações parecem favorecer mais a partícula do que a antipartícula. Com esse desequilíbrio no inicio do Cosmos poderia ter feito a matéria se sobressair sobre a antimatéria, restando apenas a radiação da matéria, assim se formando no Universo que é hoje.
Entretanto, a antimatéria é formada por fenômenos violentos no Cosmo. Há 40 anos os cientistas sabem da presença de fótons na Via Láctea, uma energia com assinatura que só poderia ser pela colisão de Elétron-Pósitron. Algum processo tem de produzir continuamente positrões em grandes quantidades para esta radiação ser visível. De facto, os cientistas estimam que cerca de 10⁴³ positrões — 1 seguido de 43 zeros! — são aniquilados a cada segundo na nossa galáxia! Esta radiação tem a sua maior intensidade na direcção do bojo central da Via Láctea, apesar de este conter menos de metade da massa total da galáxia. Se estes positrões são produzidos maioritariamente por um mesmo processo, o bojo da nossa galáxia parece proporcionar condições ideais para a sua proliferação.
Várias hipóteses foram já propostas para explicar a produção de antimatéria na região central da Via Láctea. Uma das mais citadas recentemente sugere que os positrões são subprodutos da aniquilação de partículas de matéria negra designadas por WIMPs (Weakly Interacting Massive Particles). As galáxias como a Via Láctea parecem estar rodeadas de um halo deste material misterioso, halo esse que seria mais denso na sua região central, sendo aí mais provável a colisão e aniquilação destas partículas. No entanto, até à data, as tentativas de detecção destas partículas não deram em nada, mesmo com recurso a experiências extremamente sensíveis como o Xenon-1T. Recentemente, observações realizadas com o telescópio de raios gama Fermi, da NASA, sugerem que os positrões poderão ser emitidos por uma população de pulsares energéticos, particularmente densa no bojo da galáxia.
No número de 22 de Maio da revista Nature, uma equipa liderada pelo astrofísico Roland Crocker, da Australian National University em Canberra, sugere uma explicação ainda mais simples — que esta enorme quantidade de positrões tem origem no decaimento de elementos radioactivos produzidos por um tipo especial de supernova de tipo Ia. Este fenómeno é bem conhecido — o brilho das supernovas deve-se em grande parte ao decaimento radioactivo de isótopos sintetizados durante a explosão.
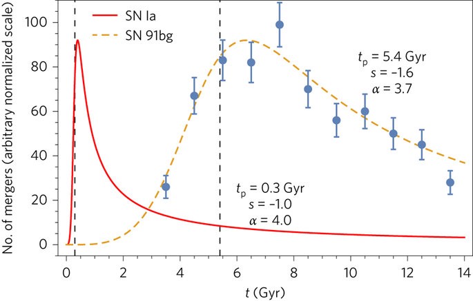
As supernovas de tipo Ia resultam da explosão termonuclear de uma anã branca — o núcleo exposto de uma estrela como o Sol, composto por carbono e oxigénio — num sistema binário. No cenário mais provável, duas anãs brancas perdem energia orbital emitindo ondas gravitacionais, percorrendo uma espiral até colidirem. A colisão desencadeia a fusão do carbono no interior de uma delas e a estrela é destruída por uma explosão 5 mil milhões de vezes mais luminosa do que o Sol. Estas supernovas de tipo Ia ditas “normais” produzem grande quantidade de isótopos radioactivos, especialmente o Níquel-56, mas as suas vidas médias são curtas e, por isso, não podem sustentar a população de positrões inferida das observações.
No entanto, um subtipo raro do tipo Ia, identificado pelo nome do primeiro exemplo publicado na literatura — a supernova “SN 1991bg” na galáxia Messier 84 — , parece fornecer uma solução particularmente simples para o problema. Supernovas deste subtipo são menos luminosas e brilham durante menos tempo do que as supernovas de tipo Ia normais. São por isso mais difíceis de observar e provavelmente isso explica também, pelo menos em parte, a sua aparente raridade. Estas explosões parecem ter origem na colisão de duas anãs brancas, mas em que uma delas é substancialmente mais leve e de composição diferente da outra — uma é mais maciça e rica em carbono e oxigénio, a outra mais leve e rica em hélio.
Os modelos sugerem que, em supernovas com início em sistemas binários com estas características, o isótopo radioactivo Titânio-44, com uma vida média de 60 anos, é formado em grandes quantidades relativamente ao que acontece nas suas congéneres normais. O decaimento deste isótopo em Cálcio-44 liberta raios X e raios gama bem como positrões ao longo de uma grande janela temporal, suficiente para explicar a abundância observada. Mais, várias evidências sugerem que as supernovas semelhantes à “SN 1991bg” ocorrem em galáxias ou regiões das mesmas em que a idade média da população estelar está entre os 3 e os 6 mil milhões de anos. Esta faixa de idades é consistente com a idade das estrelas no bojo da Via Láctea, explicando assim porque é que vemos mais positrões vindos dessa região — as “SN 1991-bg” são mais comuns aí.
Esta proposta, não demonstrando inequivocamente que a população observada de positrões tem origem nas supernovas de tipo “SN 1991-bg”, tem a vantagem de explicar de forma aparentemente simples as observações, usando processos cuja física é relativamente familiar. Elimina a necessidade de recorrer a modelos com fontes mais exóticas como WIMPs, pulsares e buracos negros. Os cientistas gostam de invocar o princípio chamado de “A Navalha de Ockham” que pode ser resumido na seguinte frase: de entre todas as explicações para um fenômeno, deve ser preferida a que implica menos assunções. O tempo dirá se, neste caso, Ockham foi bom conselheiro.
Na Quântica, a matéria e antimatéria agem praticamente da mesma forma, seguindo as mesmas leis e não tendo vantagem nenhuma sobre a outra. Assim fica difícil responder porque o Cosmos é inundado de matéria e a antimatéria ser rara. Considerada uma das grandes duvidas da Física Moderna. Novas descobertas dizem que a simetria não é tão perfeita quanto parece e algumas interações parecem favorecer mais a partícula do que a antipartícula. Com esse desequilíbrio no inicio do Cosmos poderia ter feito a matéria se sobressair sobre a antimatéria, restando apenas a radiação da matéria, assim se formando no Universo que é hoje.
Várias hipóteses foram já propostas para explicar a produção de antimatéria na região central da Via Láctea. Uma das mais citadas recentemente sugere que os positrões são subprodutos da aniquilação de partículas de matéria negra designadas por WIMPs (Weakly Interacting Massive Particles). As galáxias como a Via Láctea parecem estar rodeadas de um halo deste material misterioso, halo esse que seria mais denso na sua região central, sendo aí mais provável a colisão e aniquilação destas partículas. No entanto, até à data, as tentativas de detecção destas partículas não deram em nada, mesmo com recurso a experiências extremamente sensíveis como o Xenon-1T. Recentemente, observações realizadas com o telescópio de raios gama Fermi, da NASA, sugerem que os positrões poderão ser emitidos por uma população de pulsares energéticos, particularmente densa no bojo da galáxia.
No número de 22 de Maio da revista Nature, uma equipa liderada pelo astrofísico Roland Crocker, da Australian National University em Canberra, sugere uma explicação ainda mais simples — que esta enorme quantidade de positrões tem origem no decaimento de elementos radioactivos produzidos por um tipo especial de supernova de tipo Ia. Este fenómeno é bem conhecido — o brilho das supernovas deve-se em grande parte ao decaimento radioactivo de isótopos sintetizados durante a explosão.
No entanto, um subtipo raro do tipo Ia, identificado pelo nome do primeiro exemplo publicado na literatura — a supernova “SN 1991bg” na galáxia Messier 84 — , parece fornecer uma solução particularmente simples para o problema. Supernovas deste subtipo são menos luminosas e brilham durante menos tempo do que as supernovas de tipo Ia normais. São por isso mais difíceis de observar e provavelmente isso explica também, pelo menos em parte, a sua aparente raridade. Estas explosões parecem ter origem na colisão de duas anãs brancas, mas em que uma delas é substancialmente mais leve e de composição diferente da outra — uma é mais maciça e rica em carbono e oxigénio, a outra mais leve e rica em hélio.
Nenhum comentário:
Postar um comentário